
CLAYTON (KMOX) - Missouri Agriculture Department plays a crucial role in regulating animal shelters. The agency oversees animal health and disease control within Missouri shelters to assure animals are healthy.
That's why KMOX News wanted to talk with state regulators about the currently unlicensed St. Louis County Animal Care and Control (ACC) facility, now the subject of intense scrutiny by advocates and county legislators after a highly contagious virus prompted the euthanizing of 19 dogs.
The Animal Care Facilities Act ensures breeding, boarding, and shelter facilities, including those in municipalities and those operated by rescue groups, adhere to specific standards for animal care.
At the end of May, KMOX asked the agriculture department's Christi Miller for an interview. She said she was out of the office. Tuesday, we followed up with another interview request and received the following response:
"We are not going to provide interviews about the St. Louis facility."
KMOX News sent a response to Miller, saying:
"What is the reason someone in the Ag department will not do an interview, given the past and current history of St. Louis County Animal Care and Control, three failed inspections since February, and continuing to operate without a license?
St. Louis County Animal Care and Control will not even allow the remaining and only veterinarian, Dr. Marissa Bowers, to speak. That's if she is still employed by the county. Dr. Doug Pernikoff suddenly resigned with no explanation other than telling the Post-Dispatch he 'couldn't fight anymore.'
Since the Ag Department is the responsible oversight agency at all animal shelters statewide, then who else can speak on the problems?"
KMOX is still waiting for a response to that from Miller.
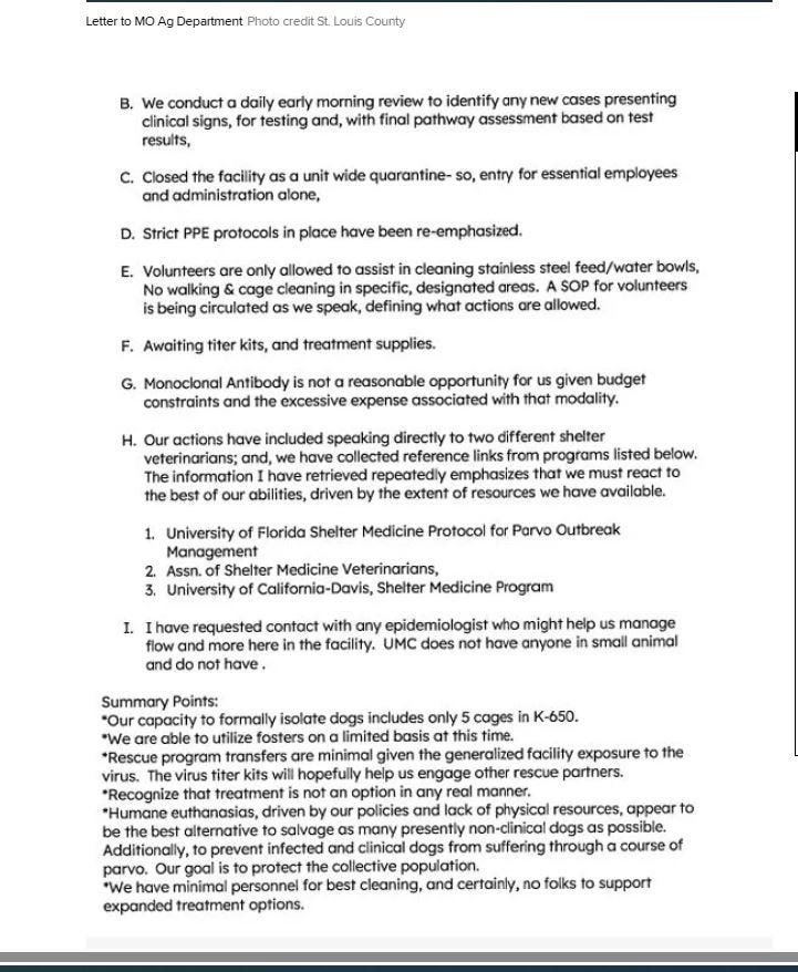
KMOX News has reported extensively on this, including a sunshine request to the Ag department on a management plan which was sent to the agency by then-County Veterinary Medical Director Doctor Doug Pernikoff.
That report is below:



On Thursday, the St. Louis County Council held a committee of the whole meeting hoping for answers as to why 19 dogs were euthanized instead of being fully treated following the parvovirus outbreak at the shelter.
St. Louis County Department of Public Health did not make a parvo case public until April 30th. Deputy County Public Health Director Dr. Landrus Burress denied it was an "outbreak" when KMOX interviewed him then.
The report obtained by KMOX that was filed by then-vet Dr. Pernikoff with Missouri's Ag Department said the first case was back on April 18th.
Then, on May 2nd, the health department announced 19 dogs were euthanized who'd either tested positive for parvo or exhibited symptoms.
That was, again, just two days after Dr. Burress had told KMOX it should not be called an "outbreak" and that only "four or five" dogs had it.
On May 4th — four days after the situation was made public — Health Director Dr. Kanika Cunningham held a press conference with St. Louis County Executive Dr. Sam Page. They talked about the trauma caused for staff and volunteers by the euthanasia. Dr. Cunningham then gave no indication that she had not been in the loop and in command of the situation.
But last week, Dr. Cunningham revealed to the council committee that she had not been told of plans to euthanize sick dogs. She said she found out after the dogs were already deceased. She could not give the council a more detailed timeline of her knowledge or her participation in decision making.
The video of that Sunday, May 4th press conference has been taken down from St. Louis County's social media, though KMOX News still has recordings of several sound bites of what was said.
Here is what the County sent to news organizations on May 4th:

This Tuesday, St. Louis County Council members followed up on their committee of the whole meeting with an ethics committee hearing.
Committee Chairman Michael Archer, Council Chairwoman Rita Heard Days, and Councilwoman Gretchen Bangert voted to subpoena several people in hopes of getting some answers on the parvovirus outbreak as well as other concerns, like a lack of staff, not enough volunteers, and operating the facility without a state license.
At the first hearing, Dr. Cunningham said she would refuse to allow the current veterinarian to testify and that doing so would put animals' health at risk.
She did suggest to the committee that initial vet Dr. Doug Pernikoff was the problem and violated protocols. Cunningham, nor anyone else from the County, has ever explained why Pernikoff suddenly quit during a crisis.
Instead, during the now-deleted May 4th briefing, veterinarian staff were praised, saying they worked quickly to contain the spread of the virus.
The Council Ethics Committee is sending subpoenas to the following people:
St. Louis County Public Health Director Dr. Kanika Cunningham
St. Louis County Deputy Director of Public Health Dr. Landrus Burress
Rebecca Rainwater, listed as Animal Care and Control office manager
Olivia Kovac, shelter animal population manager
Dr. Doug Pernikoff, ACC's former veterinary medical director
Dr. Marissa Bowers, current ACC veterinarian
Lee Jackson, former ACC operations manager
Olivia Bennett, inspector with the Missouri Department of Agriculture
Matt Rold, coordinator for the State Animal Health Division.
Sarah Javier, CEO of the Animal Protective Association
Kim Brown, COO Animal Protective Association
Chairwoman Days indicates more hearings are ahead. No dates are set.